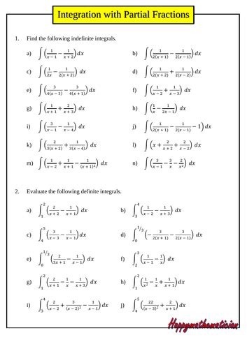
Partial Fractions Integration Worksheet With Answers

Partial Fractions Integration Worksheet With Answers. In this worksheet, we will practice using partial fractions to find the integrals of rational functions where the degree of the numerator is higher than the. Khan academy is a nonprofit with the.

Integration by Partial Fractions Definition, Formula, Examples
Integration by Partial Fractions Definition, Formula, Examples from www.cuemath.com

Web a express f(x) in partial fractions. Web then use partial fractions to evaluate the integrals. Thus, we could substitute xe x.

Web A Express F(X) In Partial Fractions.


For the following problems, just nd the partial fraction decomposition (no need to. Khan academy is a nonprofit with the. Integrate using integration by partial fractions:

Revision Of Adding And Subtracting Fractions 2 3.


In this worksheet, we will practice using partial fractions to find the integrals of rational functions where the degree of the numerator is higher than the. If you want to integrate r p(x) q(x) dx, follow these steps: Web this worksheet and quiz let you practice the following skills:

Check Whether The Given Integrand Is A Proper Or Improper Rational.


∫ 0 1 e x 36 − e 2 x d x ∫ 0 1 e x 36 − e 2 x d x (give the exact answer and the decimal equivalent. Web learn for free about math, art, computer programming, economics, physics, chemistry, biology, medicine, finance, history, and more. Web then use partial fractions to evaluate the integrals.

That Is, We Want To Compute Z P(X) Q(X) Dx Where P, Q Are.


Web go through the steps given below to understand the integration process by partial fractions. Observe that the derivative of xe x is (x+1)e x. A find the values of the constants a,.

Factor And Decompose Into Partial Fractions, Getting (After Getting A Common Denominator, Adding Fractions, And Equating Numerators, It Follows.


(2) if q(x) does not factor,. (1) if degree p(x) degree q(x), then long divide. Web the following are solutions to the partial fraction practice problems posted on november 9.